Особливості процесів заготівлі кормів із трав
- Деталі
- Кормовиробництво
- 1170
Певні коригування процесів скошування створили передумову для отримання якісної сировини для заготівлі насамперед силосу з пров’ялених трав.
Причому кліматичні умови були відносно прийнятними саме для пров’ялювання зеленої маси до вологості 60–70%. Глибоке пров’ялювання до вологості 40–50% різко збільшує ймовірність потрапляння трав під опади й відповідне зменшення поживності корму. Так, одноразове зволоження (опади 20 мм) плющеної зеленої маси люцерни зменшує вміст сирого протеїну на 4–6,2%, повторне вимивання — ще на 3,8–7,5, до того ж відбувається повне вимивання й розкладання цукрів від процесів автолізу та дихання рослин, відбувається гідроліз протеїну, особливо його розчинних фракцій. Триразове потрапляння маси під опади зменшує поживну цінність отриманого корму зазвичай на 30–40%. Така маса зверху біліє, а знизу підпарюється і за підбирання навіть вологою обсипається.
Зокрема, застосування порційного скошування (тільки на два дні роботи прес-підбирачів або самохідних комплексів — не більше) без увімкнення плющильних вальців у максимально широкий валок, дає змогу уникнути втрат поживних речовин і пришвидшити вологовіддачу стебел. Обов’язковим є одноразове обертання валка (через 3–4 години після скошування) й укладання його на сухішу поверхню поля. За заготівлі в рулони: мінімальна щільність пресування (для пресів із постійною камерою пресування до щільності не вищої за 120 кг/м³, для пресів із камерою перемінного об’єму — обов’язково з нещільною серцевиною). За заготівлі в тюки: великооб’ємні — мінімальна щільність пресування не більша за 140 кг/м³, для малих тюків (40 × 40 × 80) — не більше як 100 кг/м³, але з якісним обв’язуванням шпагатом. Для прес-підбирачів із системою «рото-кат» — максимальний ступінь подрібнення маси. Зверніть увагу! За заготівлі у вологу погоду адгезидні (склеювальні) властивості стретч-плівок (особливо вітчизняного виробництва) різко знижуються, а в разі потрапляння опадів у зону контакту країв — плівка погано склеюється.
Читайте також: Як підібрати силосний гібрид кукурудзи
За заготівлі силосу з пров’яленої маси у так звані «вікна», термін такого вікна повинен бути не меншим як 6–8 год, тільки в такому разі можна правильно виконати всі операції й отримати корм задовільної якості.

Потрібні консерванти
У разі заготівлі силосу з частково пров’яленої маси потрібно обов’язково застосовувати консерванти: біологічні — в дозах від 1 до 4–8 г/т з унесенням через систему аплікаторів у камеру пресування або на валок перед підбирачем; хімічні (органічні кислоти, зокрема пропіонова, мурашина, оцтова, бажано в буферизованому вигляді) — в дозі не меншій як 6 л/т.
За заготівлі силосу в траншеї — попередня обробка сховища асептиком (вапнування стін і підлоги), замазування тріщин. Розвантаження тільки з торців без заїзду транспорту на днище траншеї. Ощадливе трамбування до щільності 450–550 кг/м³ колісними енергозасобами, уникати розрівнювання гусеничними тракторами. Обов’язкова обробка кожної машини (за відсутності внесення консервантів через аплікатор) обраним консервантом одразу після розвантаження (самоскидом). Контроль температури маси на глибині 40 то 100 см постійно після укладання кожних 100 т сировини. По завершенню траншеї негайне накриття вкривною плівкою та відпрацьованими скатами (шинами) для її притискання від поривів вітру. За великих обсягів заготівлі (типові траншеї понад 3000 т — можливе посекційне укладання, трамбування й герметизації плівкою (згорнутою в рулон).
За заготівлі силосу в рукавах: правильний вибір розташування укриттів (по технології «Аг-Баг») — оптимальний розмір подрібнення соломистих стебел (жито, ячмінь, тритикале) завдовжки не більше як 60–80 мм, бобових трав — до 120 мм, унесення консервантів (аплікатор може бути встановленим безпосередньо на силосопресі або на підбирачі маси. Рівень ущільнення оптимальний — до 500 кг/м³. За масового утворення газів бродіння (за закладання високовологої маси), комплектування рукавів клапанами для видалення газів. Обов’язково безконтактний контроль температури. Оперативний контроль за станом рукавів (недопущення проривів і пошкоджень), перших 30 днів зберігання — щоденний огляд із заклеюванням пошкоджень скотчем підвищеної клейкості (бо висока вологість середовища).
Загалом у дощовиту погоду бажано максимально уникати роботи в полі й особливо вивезення маси, а роботи на стаціонарі (обробка маси, обмотування плівкою, перепакування рулонів і тюків) здійснювати під навісами з дотриманням вимог охорони праці й довкілля.
Гарантія отримання якісного сіна
Застосування буферизованих хімічних консервантів знижує ризик повторного мікробіального й токсикологічного забруднення корму і гарантує отримання якісного сіна навіть за повторного зволоження сировини. Для хімічного консервування сіна підвищеної вологості застосовують органічні кислоти та їх композиції (табл. 1).
Таблиця 1. Мінімальні дози внесення консервантів у вологе сіно, л/т

Аналіз способів обробки соковитих кормів хімічними консервантами показав, що глибина проникнення консервантів у шар корму залежить від його щільності, дози консерванту й ступеня розведення водою. За щільності подрібненої рослинної маси 200–250 кг/м³ і дозі внесення консерванту в кількості 4 кг/т (товщина шару маси — 315 мм) отримано такі показники (табл. 2).
Таблиця 2. Глибина проникнення кислотного консерванту за різного розведення й дози внесення

Вміст консерванту в верхньому шарі на глибині 35 мм приблизно в 9 разів вище прийнятої дози для всього шару. Для зменшення нерівномірності внесення консервантів потрібно по можливості зменшувати товщину шару корму, який обробляється.
Читайте також: Як отримати силос високої якості
Втрати рідких консервантів від випаровування після внесення в шар рослинної маси визначається методом моделювання в спеціальних місткостях. Кількість консерванту, що випаровувався, і води (з контрольних зразків) визначається шляхом титрування зразків. Дослідження, проведені з мурашиною кислотою (концентрація — 98%, доза — 4 л/т) за температури +21…+22 °С показали, що втрати консерванту за обробки рослинної маси з поверхні шару методом розбризкування складають значну величину через 10 хв після внесення. Після 50 хв суттєвого збільшення втрат не відбувається. Максимальна інтенсивність випаровування відбувається в період до 30 хв. Для зниження втрат консерванту його розводять водою, це особливо актуально за високої температури повітря влітку. У табл. 3 наведено середні значення втрат хімічного консерванту. Відхилення від середніх величин досягали ±20%.
Таблиця 3. Втрати консервантів після обробки шару подрібненої рослинної маси конюшини лучної

Таким чином, ефективність внесення консервантів залежить від виду рослинної сировини, виду консерванту та його агрегатного стану, дози й рівномірності внесення в корм.
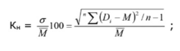
На практиці розподілення консервантів у рослинній масі оцінюють за коефіцієнтом нерівномірності (Кн), який є коефіцієнтом варіації вмісту консервантів у масі корму, %:

де Кн — коефіцієнт нерівномірності внесення консервантів;
σ — середньоквадратичне відхилення;
Di — локальний уміст консерванту в окремому зразку корму;
М — середнє значення вмісту консерванту в масі корму.
Зі зростанням рівномірності внесення консервантів у рослинну масу й зменшення коефіцієнта нерівномірності, збереження поживних речовин у кормах, оброблених консервантами, підвищується. Разом із тим, як правило, дози внесення консервантів становлять 0,3–1,0% маси обробленої сировини, що ускладнює рівномірність їх внесення в сировину для консервування.
Максимально висока рівномірність розподілення консервантів досягається за обробки кормів парами консервантів. Така обробка можлива, рослинна маса не ущільнена, а вологість її — в межах 40–60%. Агротехнічними вимогами передбачено допустимі межі коливань доз і рівномірності внесення консервантів у корми. Відповідно до цих вимог відхилення від заданої дози не має перевищувати 10%. Нерівномірність внесення рідких і порошкових консервантів не повинна перевищувати ±20%.
Володимир Жуков, канд. с.-г. наук
Інститут кормів та сільського господарства Поділля НААН


